Ответы
Ответ дал:
0
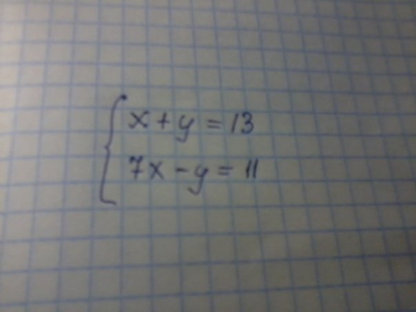
х+у=13
7х-у=11
складываем
8х=11+13
8х=24
х=248
х=3
тогда
х+у=13
3+у=13
у=13-3
у=10
Ответ-----(3,10)
7х-у=11
складываем
8х=11+13
8х=24
х=248
х=3
тогда
х+у=13
3+у=13
у=13-3
у=10
Ответ-----(3,10)
Вас заинтересует
3 года назад
3 года назад
8 лет назад
8 лет назад
10 лет назад
11 лет назад