• Предмет: Математика
  • Автор: Аноним
  • Вопрос задан 10 лет назад

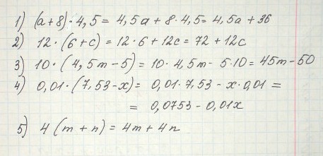
1) (а+8)*4,5  2) 12(6+с)  3) 10(4,5м-5)  4) 0,01*(7,53-х)  5) 4(м+n) раскройте скобки

Ответы

Ответ дал: ПростоЛёка
0
◕‿◕◕‿◕** Решение во вложении **.◕‿◕◕‿◕
Приложения:
Вас заинтересует