Ответы
Ответ дал:
0
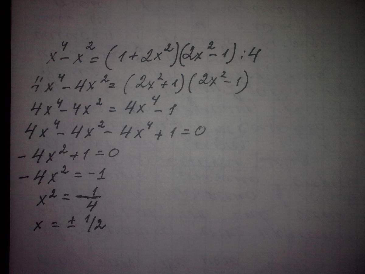
Решение смотри во вложении
Приложения:

Ответ дал:
0
ээм а мне кто поможет?
Вас заинтересует
2 года назад
2 года назад
7 лет назад
7 лет назад
10 лет назад
10 лет назад