• Предмет: Математика
  • Автор: ИринаФиз
  • Вопрос задан 11 лет назад

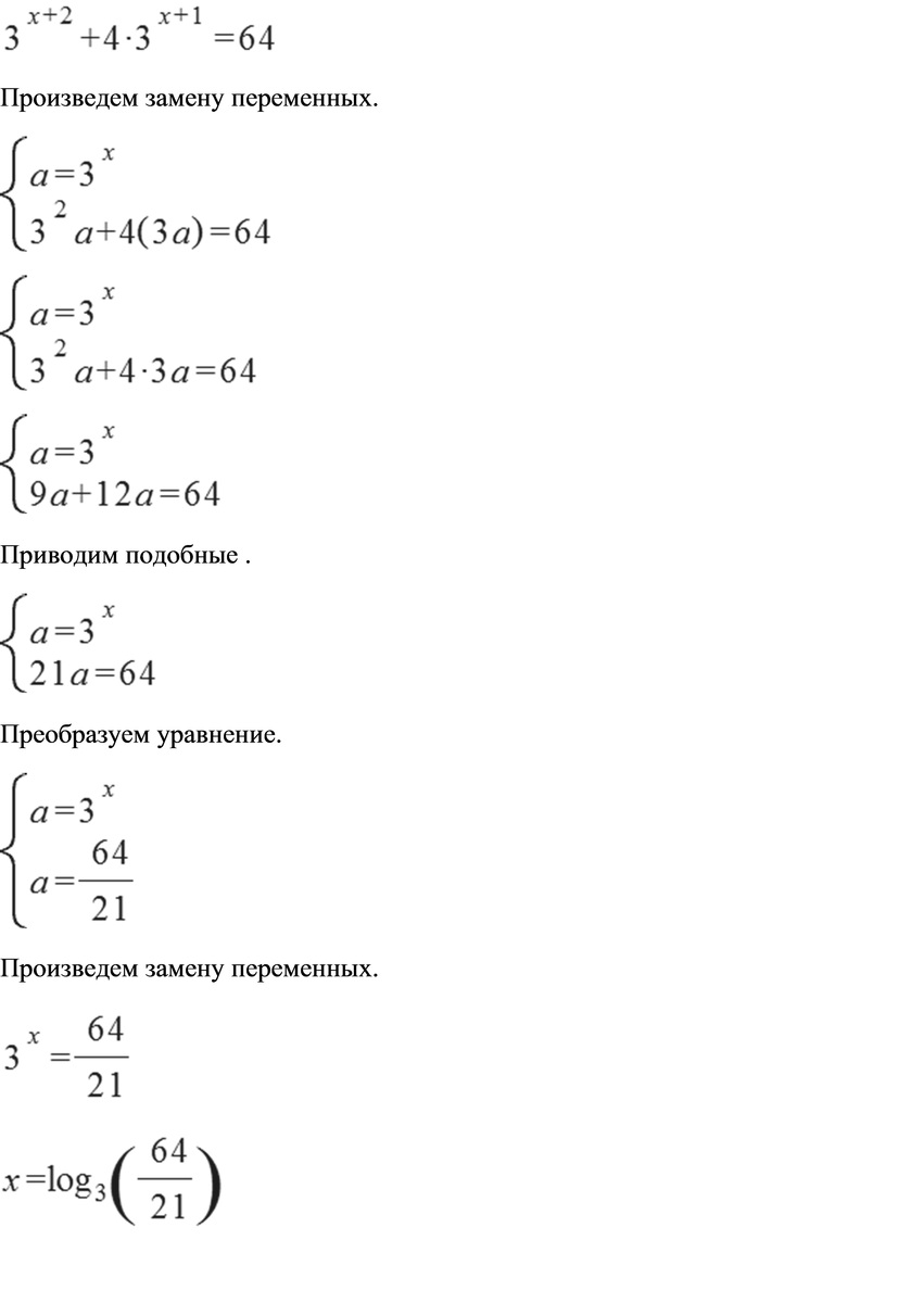
Розв'яжіть рівнняня

3^{x+2} + 4*3 ^{x+1}=64 

Ответы

Ответ дал: triolana
0

=============================

============================

Приложения:
Вас заинтересует