• Предмет: Алгебра
  • Автор: ganya1563987
  • Вопрос задан 11 лет назад

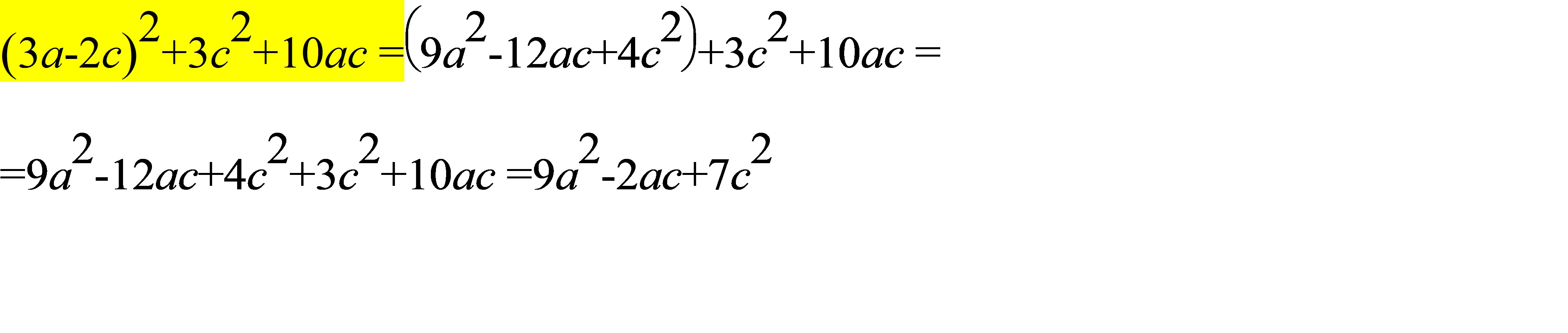
преобразуйте в многочлен выражение (3а-2с)^2 +3с^2+10ас

Ответы

Ответ дал: triolana
0

----------------------------------------------------

========================================

Приложения:
Вас заинтересует