• Предмет: Геометрия
  • Автор: Kieko
  • Вопрос задан 11 лет назад

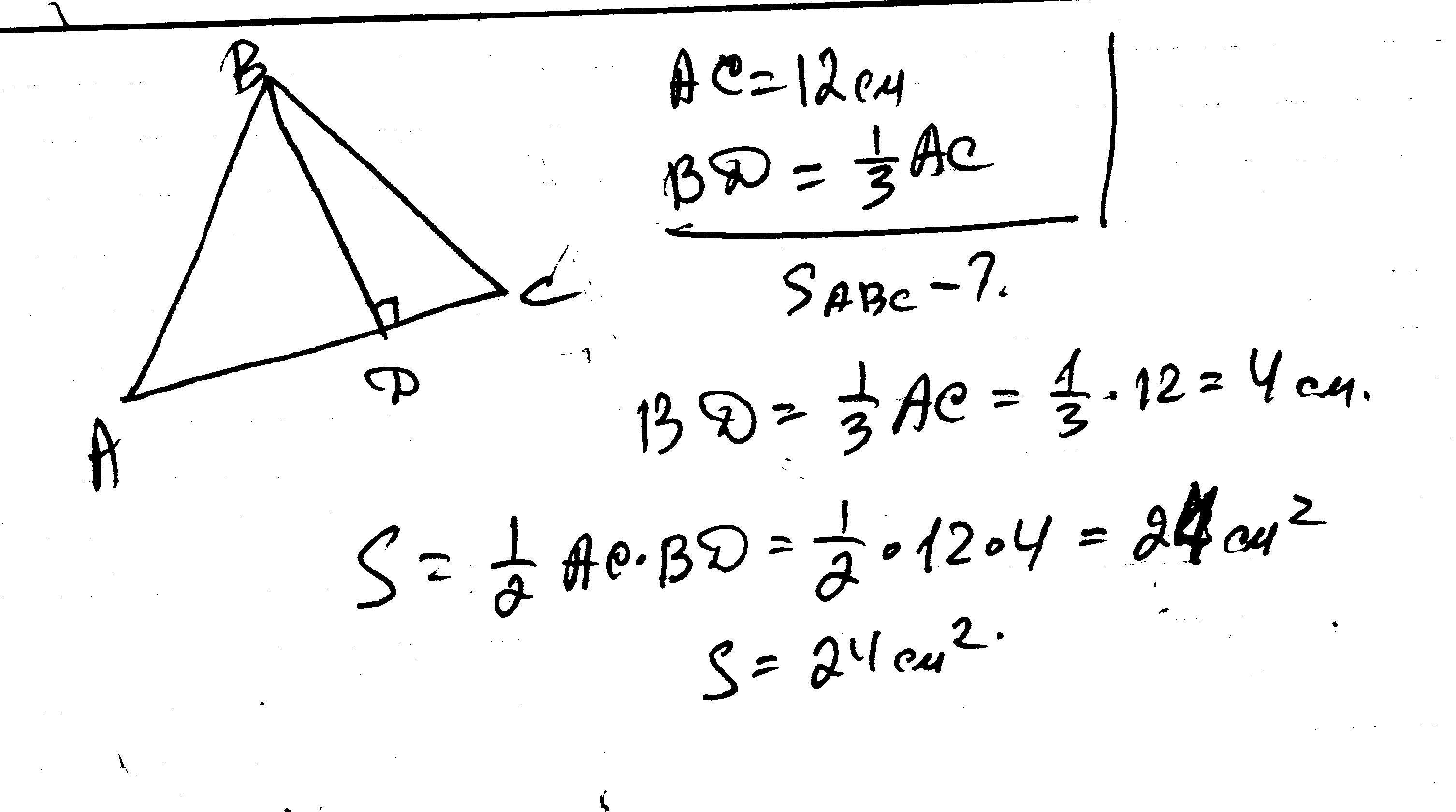
Сторона треугольника 12см, а высота проведенная к ней в 3 раза меньше стороны. Найдите площадь треугольника

Ответы

Ответ дал: ужнеужели
0
решение в скане.................
Приложения:
Вас заинтересует