• Предмет: Математика
  • Автор: lyubava981
  • Вопрос задан 10 лет назад

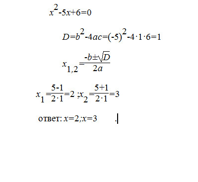
решите уравнение x(в квадрате)-5x+6=0

Ответы

Ответ дал: triolana
0
=================================================
Приложения:
Вас заинтересует