• Предмет: Алгебра
  • Автор: Настюха96rus
  • Вопрос задан 11 лет назад

ПОЖАЛУЙСТ СРОЧНО ПОМОГИТЕ! 4 примера, надо хотя бы 2 решить

Приложения:

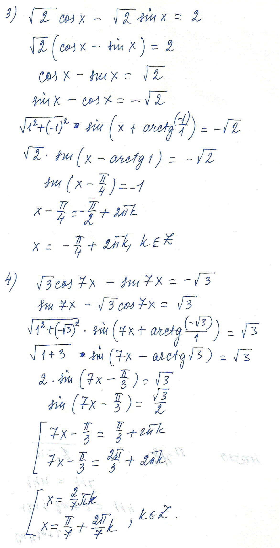
Ответы

Ответ дал: mishka19
0

Решения в приложенном файле

Приложения:
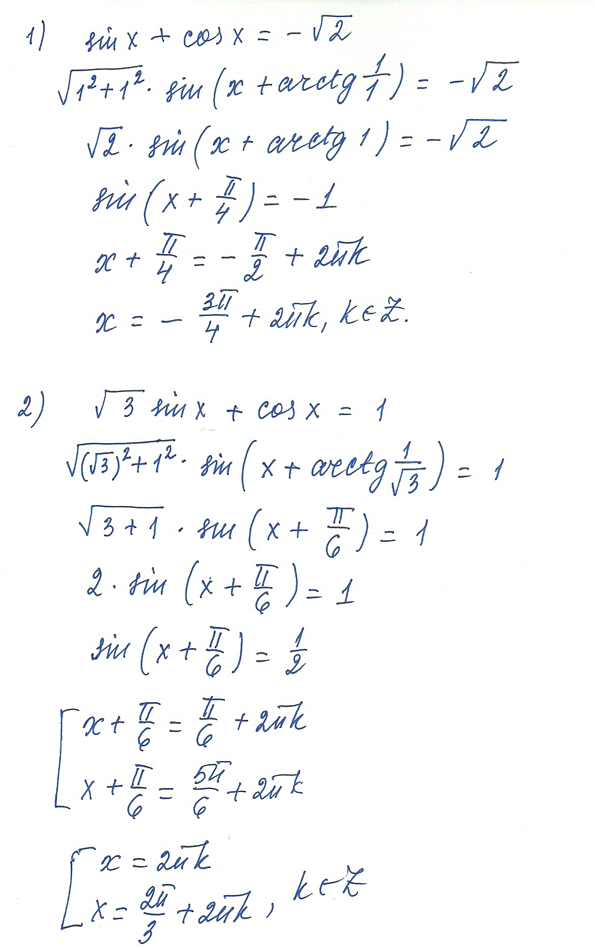
Ответ дал: arsenlevadniy
0

sinx+cosx=-sqrt2, \ frac{1}{sqrt2}sinx+frac{1}{sqrt2}cosx=-1, \ cosfrac{pi}{4}sinx+sinfrac{pi}{4}cosx=-1, \ sin(frac{pi}{4}+x)=-1, \ frac{pi}{4}+x=-frac{pi}{2}+2pi k, \ x=-frac{3pi}{4}+2pi k, k∈Z.

 

sqrt3 sinx+cosx=1, \ frac{sqrt3}{2}sinx+frac{1}{2}cosx=frac{1}{2}, \ frac{sqrt3}{2}sinx+frac{1}{2}cosx=frac{1}{2}, \ cosfrac{pi}{6}sinx+sinfrac{pi}{6}cosx=frac{1}{2}, \ sin(frac{pi}{6}+x)=frac{1}{2}, \ frac{pi}{6}+x=(-1)^k arcsinfrac{1}{2}+pi k, \ x=(-1)^k frac{pi}{6}-frac{pi}{6}+pi k, \ x=((-1)^k-1)frac{pi}{6}+pi k, k∈Z.

Приложения:
Вас заинтересует