Ответы
Ответ дал:
0
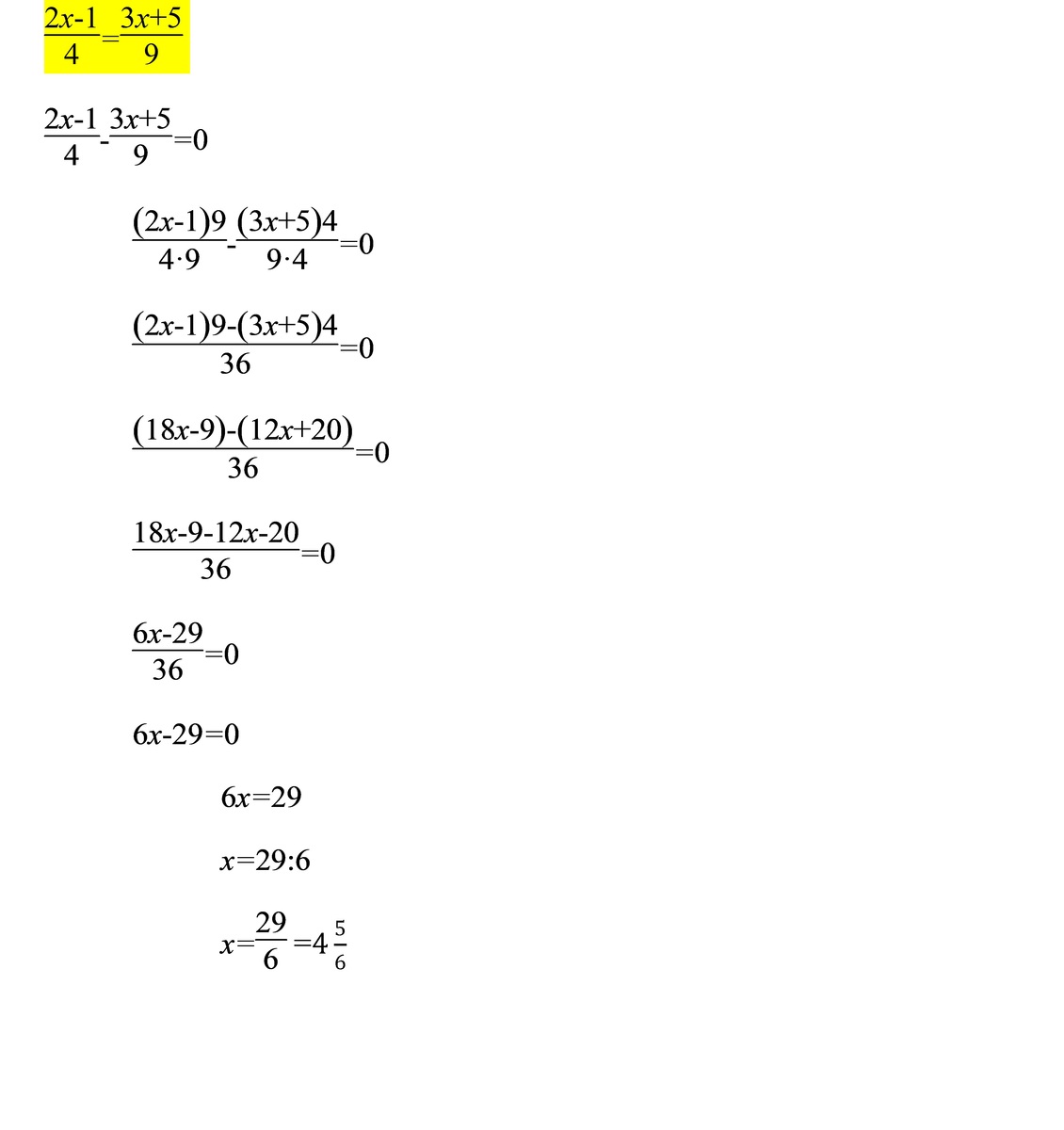
2х-1/4 = 3х+5/9
(2x-1)*9=4(3x+5)
29/6
Ответ
x=29/6
Ответ дал:
0
=====================================
Приложения:

Вас заинтересует
2 года назад
2 года назад
8 лет назад
8 лет назад
10 лет назад
10 лет назад
10 лет назад
10 лет назад