• Предмет: Алгебра
  • Автор: Аноним
  • Вопрос задан 10 лет назад

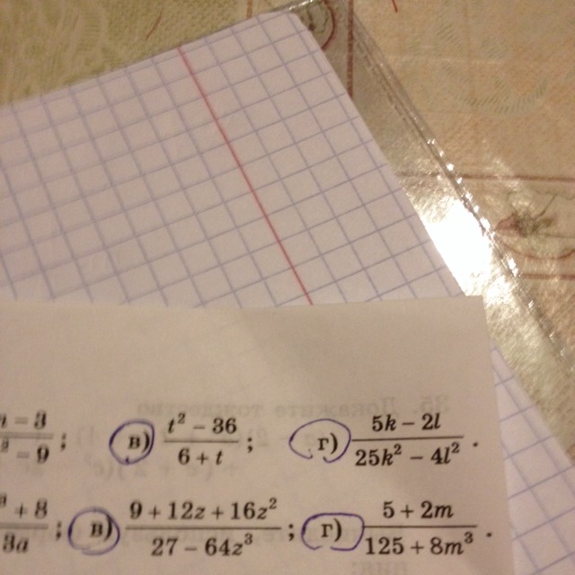
Сократить дробь пожалуйста

Приложения:

Ответы

Ответ дал: MM18
0
 frac{t^2 - 36}{t + 6} =  frac{(t - 6)(t + 6 }{t + 6} = t - 6
 frac{5k - 2l}{25k^2 - 4l} =  frac{5k - 2l}{(5k - 2l)(5k + 2l)} =  frac{1}{5k +2l}
 frac{9 + 12z + 16z^2}{27 - 64z^3} =  frac{9 + 12z + 16z^2}{((3 - 4z)(9 + 12z + 16z^2)} =  frac{1}{3 - 4z}
 frac{5 + 2m}{125 + 8m} =  frac{5 + 2m}{(5 + 2m)(25 + 10m + 4m^2} =  frac{1}{25 + 10m + 4m^2}
Вас заинтересует