Ответы
Ответ дал:
0
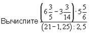
1)6 3/5-3 3/14=6 42/70-3 15/70=3 27/70
2)3 27/70•5 5/6=237/70•35/6=79/4=19 3/4
3) 21-1,25=19,75
4) 19,75:2,5=197,5:25=7,9
5)19 3/4:7,9=19,75:7,9=197,5:79='2,5
2)3 27/70•5 5/6=237/70•35/6=79/4=19 3/4
3) 21-1,25=19,75
4) 19,75:2,5=197,5:25=7,9
5)19 3/4:7,9=19,75:7,9=197,5:79='2,5
Вас заинтересует
8 лет назад
11 лет назад