• Предмет: Алгебра
  • Автор: Аноним
  • Вопрос задан 11 лет назад

Решите:

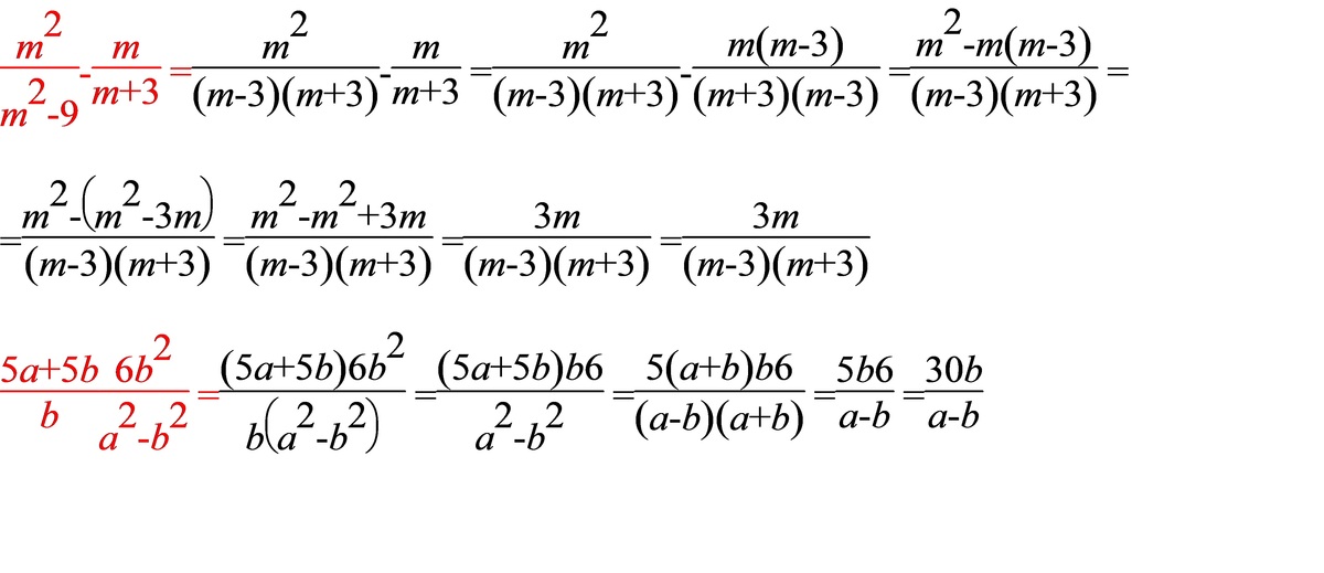
1. frac{m^{2}}{m^{2}-9} - frac{m}{m+3}

2. frac{5a+5b}{b} * frac{6b^{2}}{a^{2}-b^{2}}

Ответы

Ответ дал: triolana
0

=================================================================

Приложения:
Вас заинтересует