• Предмет: Алгебра
  • Автор: AyguzelH
  • Вопрос задан 10 лет назад

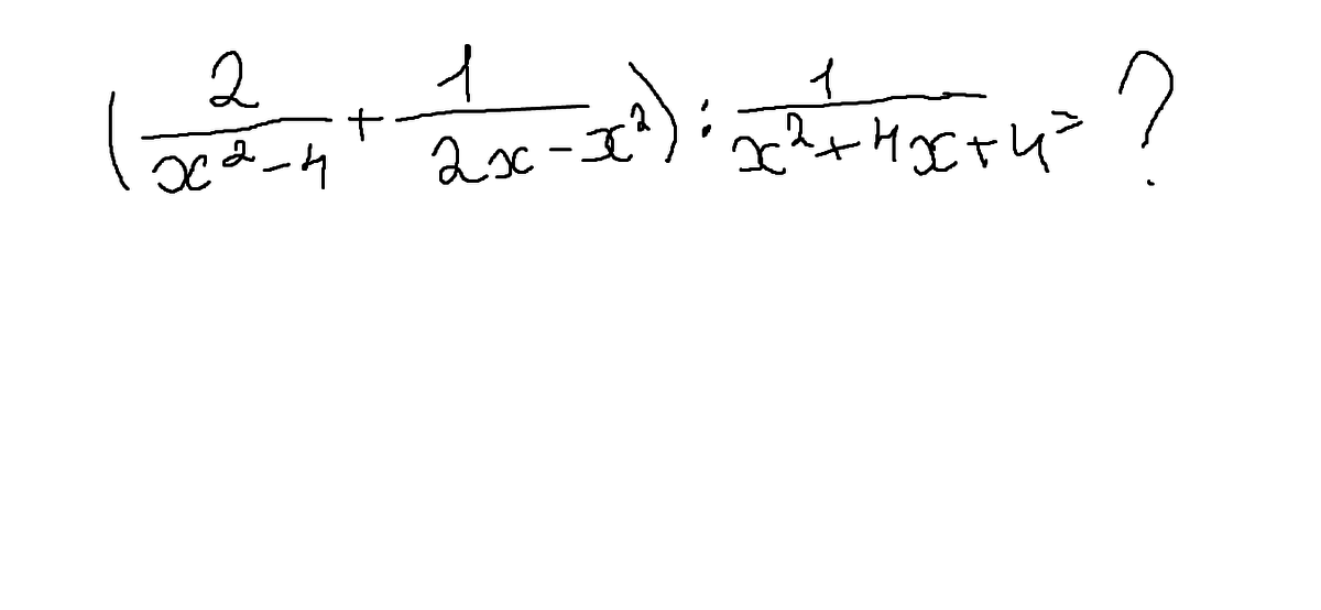
упростите выражение,
можно попонятнее и объясните каждый шаг 

Приложения:

Ответа на этот вопрос пока нет. Попробуйте найти его через форму поиска.

Вас заинтересует