• Предмет: Алгебра
  • Автор: Ray99
  • Вопрос задан 10 лет назад

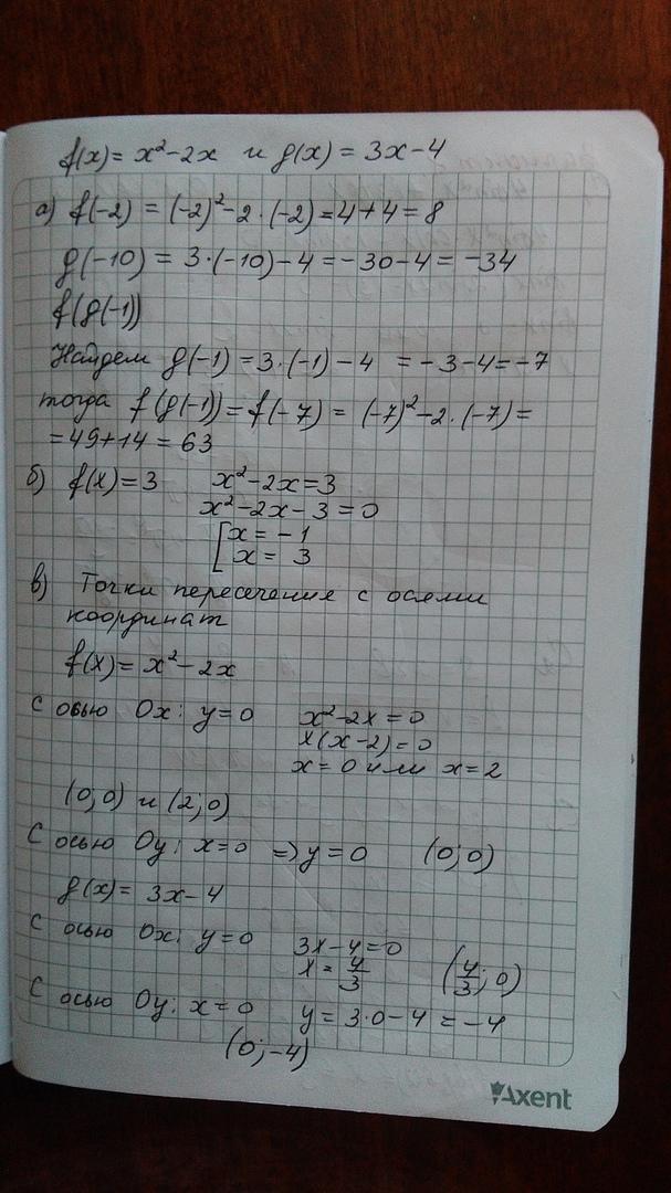
Даны функции: f(x)=x²-2x и g(x)=3x-4. Найдите:
а) f(-2); g(-10); f(g(-1)).
б) Значения x, при которых f(x)=3.
в) Точки пересечения графиков данных функций с осями координат.
г) Координаты точек,в которых пересекаются графики данных функций.
д) Все точки,в которых график функции y=f(x) лежит выше графика функции y=g(x) помогите пожалуйста))заранее спасибо)

Ответы

Ответ дал: lilyatomach
0

Ответ:

решение представлено на фото

Объяснение:

Приложения:
Вас заинтересует