• Предмет: Алгебра
  • Автор: krisina
  • Вопрос задан 11 лет назад

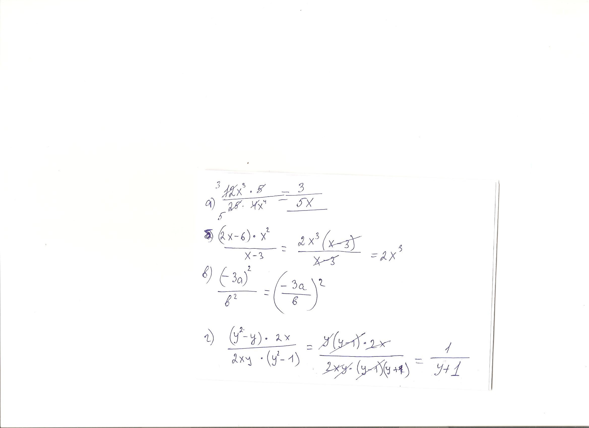
Выполните действия:

а) 12x^3   5

     ____*  _____= 

     25        4x^4

б)(2x-6)*x^2 

             ____ =

              x-3

в)(-3a)^2

  _____      =

    b^2

г) y^2-y    2x

  _____* _____  =

   2xy       y^2-1 

   
 

Ответы

Ответ дал: Tihiro
0

надеюсь, все понятно в моих каракулях)

Приложения:
Вас заинтересует