• Предмет: Физика
  • Автор: Cветланкa
  • Вопрос задан 11 лет назад

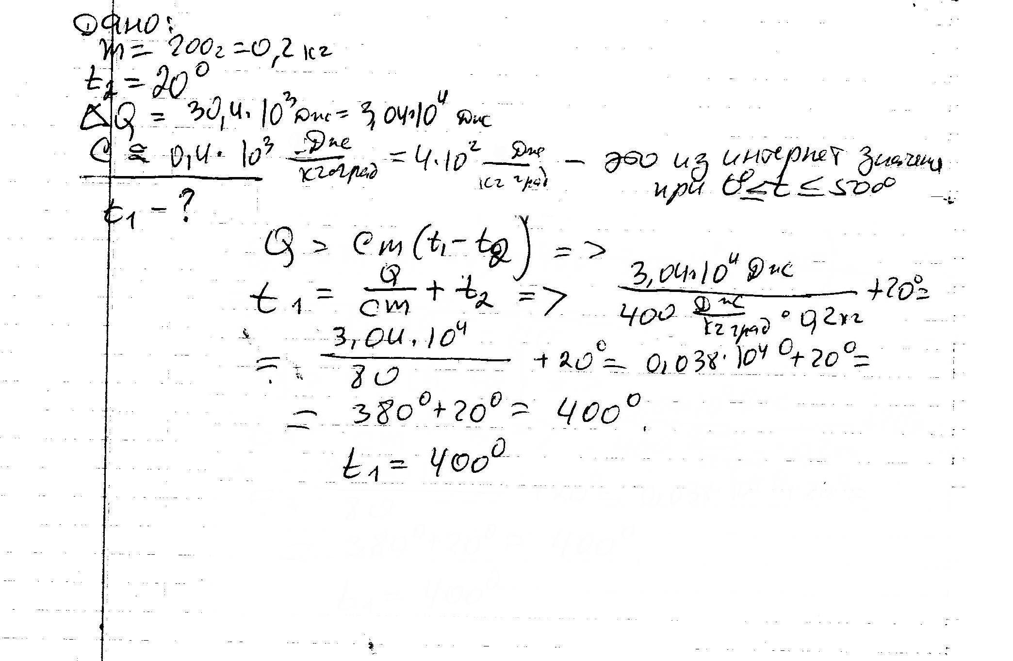
При охлаждении медного паяльника массой 200грамм до температуры 20 градусов выделилась энергия 30,4кДж Определите начальную температуру паяльника Помогите пожалуйста!

Ответы

Ответ дал: ужнеужели
0
решение в скане..........
Приложения:
Вас заинтересует