• Предмет: Алгебра
  • Автор: sanved
  • Вопрос задан 10 лет назад

Решите пожалуйста, прошу с подробным решением

Приложения:

Ответы

Ответ дал: infor5
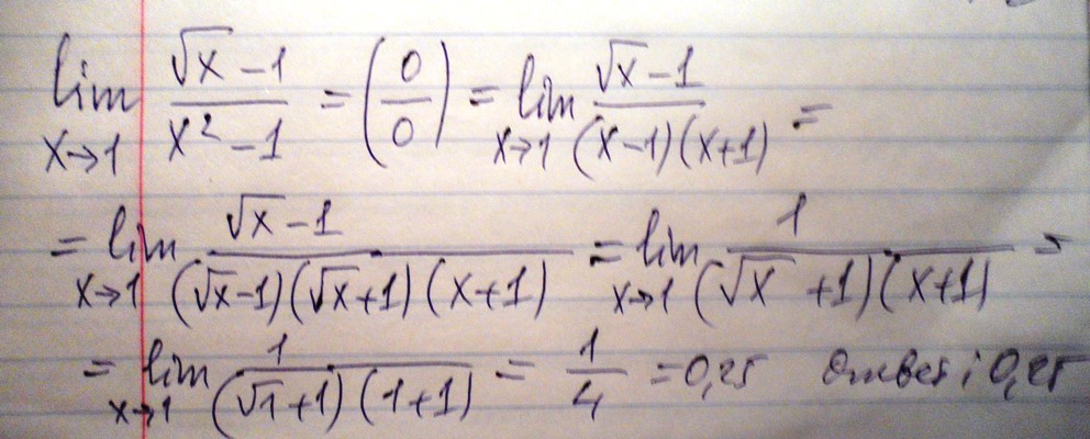
0
посмотрите решение в файле ...
Приложения:
Ответ дал: sanved
0
http://znanija.com/task/7013924
Ответ дал: sanved
0
http://znanija.com/task/7013947
Вас заинтересует