• Предмет: Алгебра
  • Автор: rezerford
  • Вопрос задан 11 лет назад

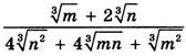
сократите дроби, считая, что переменные принимают неотрицательные числа (дробь на картинке) 

Приложения:

Ответы

Ответ дал: irkarom
0

Применим формулу: (a - b)² = (a² - 2ab + b²) для

4∛n² + 4∛(mn) + ∛m² = (2∛n + ∛m)², 

 

 

    ∛m + 2∛n                    ∛m + 2∛n                   1

------------------------- =  ------------------ = ---------------.

4∛n² + 4∛(mn) + ∛m         (2∛n + ∛m)²       2∛n + ∛m

Вас заинтересует