• Предмет: Алгебра
  • Автор: ждупомощи
  • Вопрос задан 11 лет назад

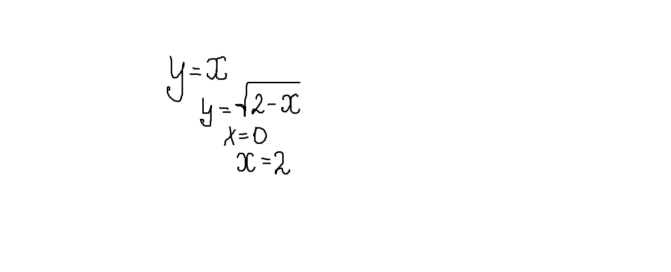
вычислите площаль фигуры ограниченной графиками функции

Приложения:

Ответы

Ответ дал: mishka19
0

Решение в приложенном файле

Приложения:
Вас заинтересует