Ответы
Ответ дал:
0
4x^2+4x+1=4x^2=81
4x^2-4x^2+4x=81-1
4x=80
x=20
4x^2-4x^2+4x=81-1
4x=80
x=20
Ответ дал:
0
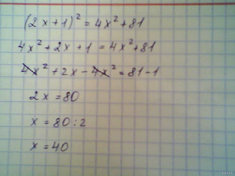
Держи))Решение твоего уравнение,мне кажется должно получиться так))
Приложения:

Ответ дал:
0
У тебя получается (a+b)^2=a^2+ab+b^2
Ответ дал:
0
я ошиблась,там 4х
Ответ дал:
0
не поможешь с этим? -(3-x)+2(x-3)=3
Вас заинтересует
2 года назад
7 лет назад
10 лет назад
10 лет назад
10 лет назад