• Предмет: Математика
  • Автор: Gendalf1
  • Вопрос задан 10 лет назад

Решите очень прошу........................................

Приложения:

Ответы

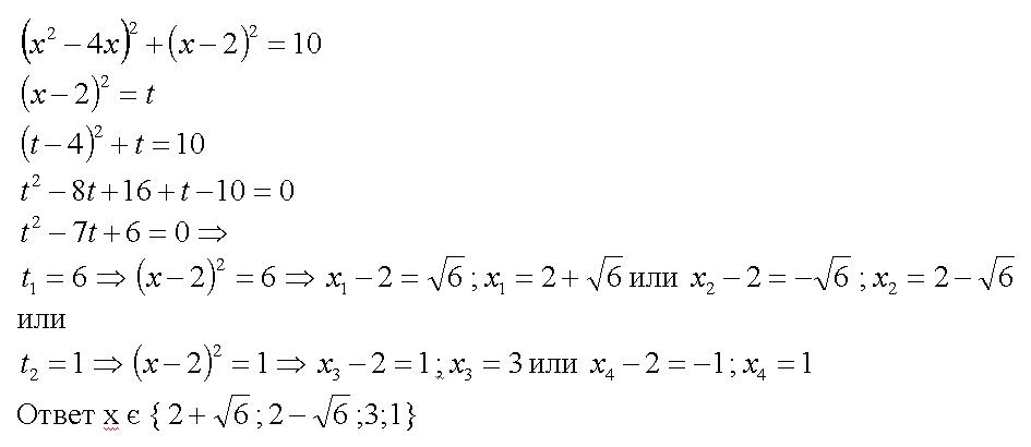
Ответ дал: IUV
0
смотри решение во вложении

Приложения:
Ответ дал: Gendalf1
0
Спасибо большое))
Ответ дал: IUV
0
на здоровье
Вас заинтересует