• Предмет: Алгебра
  • Автор: ShadowTyan
  • Вопрос задан 10 лет назад

Помогите, пожалуйста!
Заранее спасибо.

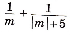
Найдите все допустимые значения переменных:

Приложения:

Ответы

Ответ дал: manyny06
0
m≠0, |m|+5≠0
m ∈ (-∞; 0) объединение (0; + ∞)
Вас заинтересует