Ответы
Ответ дал:
0
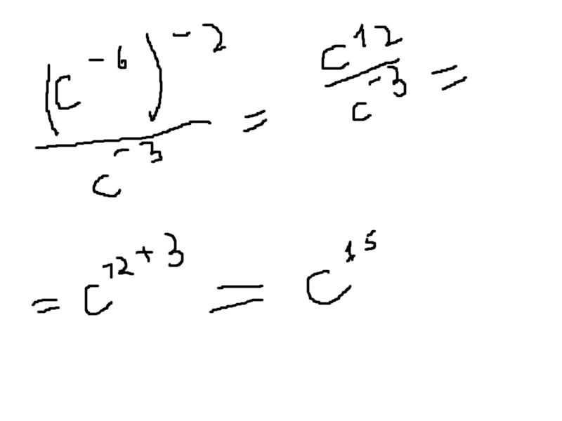
Если я конечно правильно понял задание
Приложения:

Ответ дал:
0
12-(-3)= 12+3
Вас заинтересует
2 года назад
2 года назад
7 лет назад
7 лет назад
10 лет назад
10 лет назад
10 лет назад