Ответы
Ответ дал:
0
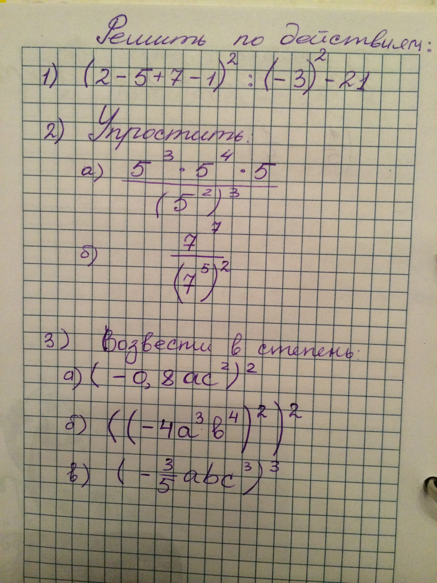
1) посчитаем в скобках:
=3^2:9-21=9:9-21=1-21=-20;
2)=5^8/5^6=5^2=25( при умножении показатели степеней складываются, при возведении в степень перемножаются)
б)7^7/7^10=1/7^3=1/343;
3)=0,64а^2с^4;
б)=(-4а^3b^4)^4=256a^12b^16;
в)=-27/125•а^3b^3c^9
=3^2:9-21=9:9-21=1-21=-20;
2)=5^8/5^6=5^2=25( при умножении показатели степеней складываются, при возведении в степень перемножаются)
б)7^7/7^10=1/7^3=1/343;
3)=0,64а^2с^4;
б)=(-4а^3b^4)^4=256a^12b^16;
в)=-27/125•а^3b^3c^9
Вас заинтересует
3 года назад
3 года назад
8 лет назад
11 лет назад
11 лет назад
11 лет назад