Можете толком объяснить? Во время решения неравенств как вы узнаёте, где ставить плюсы/минусы на оси? Я раньше помнил, но за лето успел забыть.
См. прикреплённый файл вниз листа.
Приложения:

Ответы
Ответ дал:
0
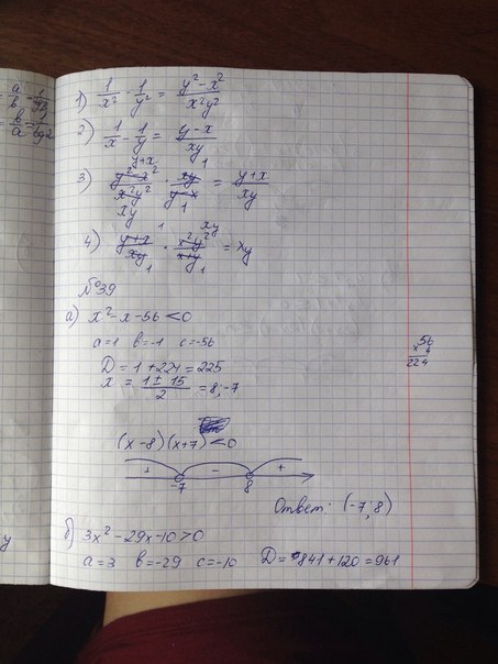
Это решение неравенств методом интервалов.
Сначала находим корни.
Для того, чтобы выяснить знак (плюс или минус) на самом правом интервале, нужно подставить в функцию любое число, которое будет правее всех отмеченных корней.
В твоем неравенстве (х-8)(х+7)<0 находим знак функции (х-8)(х+7) на самом правом интервале (правее отмеченной точки x = 8). Для этого надо взять любое число, которое больше числа x = 8. Например, возьмем x = 9 и получим: (9-8)(9+7)=16. Т.к. 16>0, значит в самом правом интервале ставим знак плюс.
Чтобы отметить знаки на остальных интервалах, нужно запомнить, что при переходе через каждый корень знак меняется (т.е. знаки чередуются).
Итак, в твоем неравенстве функция должна быть меньше нуля.
Значит, нас интересует знак минус, который возникает лишь на одном интервале: (−7; 8). Это и будет ответ.
Если бы в неравенстве стоял знак больше нуля, в ответе были бы промежутки с плюсом.
Сначала находим корни.
Для того, чтобы выяснить знак (плюс или минус) на самом правом интервале, нужно подставить в функцию любое число, которое будет правее всех отмеченных корней.
В твоем неравенстве (х-8)(х+7)<0 находим знак функции (х-8)(х+7) на самом правом интервале (правее отмеченной точки x = 8). Для этого надо взять любое число, которое больше числа x = 8. Например, возьмем x = 9 и получим: (9-8)(9+7)=16. Т.к. 16>0, значит в самом правом интервале ставим знак плюс.
Чтобы отметить знаки на остальных интервалах, нужно запомнить, что при переходе через каждый корень знак меняется (т.е. знаки чередуются).
Итак, в твоем неравенстве функция должна быть меньше нуля.
Значит, нас интересует знак минус, который возникает лишь на одном интервале: (−7; 8). Это и будет ответ.
Если бы в неравенстве стоял знак больше нуля, в ответе были бы промежутки с плюсом.
Вас заинтересует
2 года назад
2 года назад
7 лет назад
7 лет назад
10 лет назад
10 лет назад