Ответы
Ответ дал:
0
1 пример
1)0,5:1,25=0,4
2)7/5:1 4/7=7/5*7/11=49/55
3)0,4+49/55=2/5+49/55=22/55+49/55=71/55
4)71/55-3/11=71/55-15/55=56/55
5)56/55*3=168/55
6)1,5+1/4=1,5+0,25=1,75=1 3/4
7)1 3/4: 18 1/3=7/4*3/55=21/220
8)168/55:21/220=168/55*220/21=32
2 пример
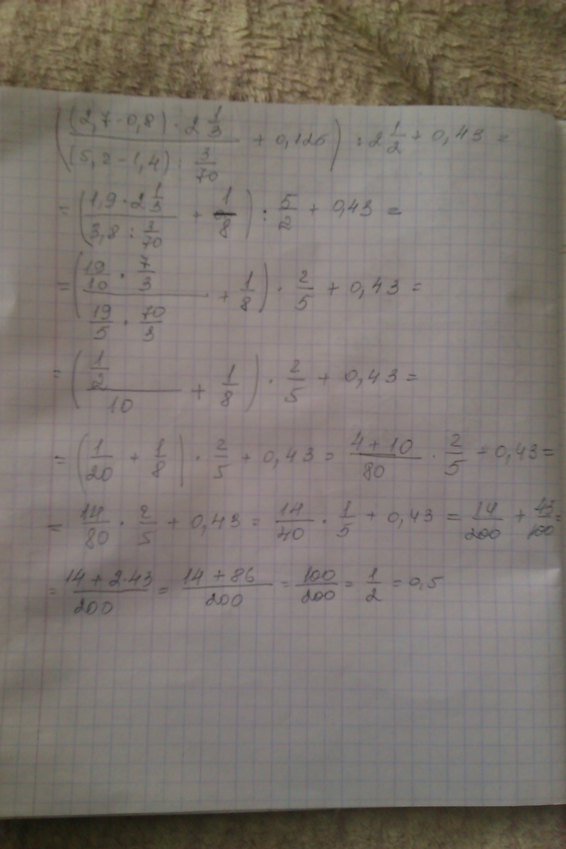
1)2,-0,8=1,9
2)1,9*2 1/3=19/10*7/3=133/30
3)5,2-1,4=3,8
4)3,8:3/70=38/10*70/3=266/30
5)133/30:266/30=133/30*30/266=1/2=0,5
6)0,5+0,125=0,625
7)0,625: 2 1/2=0,625:2,5=0,25
8)0,25+0,43=0,68
3пример
1)2 3/4:1,1=2,75:1,1=2,5
2)2,5+3 1/3=2 1/2+3 1/3=2 3/6 +3 2/6=5 5/6
3)0,4*3 1/3=2/5*10/3=4/3=1 1/3
4)2,5-1 1/3=2 1/2- 1 1/3=2 3/6-1 2/6=1 1/6
5)5 5/6:1 1/6=35/6*6/7=5
6)5:5/7=5*7/5=7
7)2 1/6+4,5=2 1/6+4 1/2=2 1/6+4 3/6=6 4/6=6 2/3
8)6 2/3*3,75=6 2/3*3 3/4=20/3*15/4=25
9)2,75-1 1/2=2,75-1,5=1,25
10)25:1,25=20
11)7-20=-13
1)0,5:1,25=0,4
2)7/5:1 4/7=7/5*7/11=49/55
3)0,4+49/55=2/5+49/55=22/55+49/55=71/55
4)71/55-3/11=71/55-15/55=56/55
5)56/55*3=168/55
6)1,5+1/4=1,5+0,25=1,75=1 3/4
7)1 3/4: 18 1/3=7/4*3/55=21/220
8)168/55:21/220=168/55*220/21=32
2 пример
1)2,-0,8=1,9
2)1,9*2 1/3=19/10*7/3=133/30
3)5,2-1,4=3,8
4)3,8:3/70=38/10*70/3=266/30
5)133/30:266/30=133/30*30/266=1/2=0,5
6)0,5+0,125=0,625
7)0,625: 2 1/2=0,625:2,5=0,25
8)0,25+0,43=0,68
3пример
1)2 3/4:1,1=2,75:1,1=2,5
2)2,5+3 1/3=2 1/2+3 1/3=2 3/6 +3 2/6=5 5/6
3)0,4*3 1/3=2/5*10/3=4/3=1 1/3
4)2,5-1 1/3=2 1/2- 1 1/3=2 3/6-1 2/6=1 1/6
5)5 5/6:1 1/6=35/6*6/7=5
6)5:5/7=5*7/5=7
7)2 1/6+4,5=2 1/6+4 1/2=2 1/6+4 3/6=6 4/6=6 2/3
8)6 2/3*3,75=6 2/3*3 3/4=20/3*15/4=25
9)2,75-1 1/2=2,75-1,5=1,25
10)25:1,25=20
11)7-20=-13
Ответ дал:
0
Приложения:
Ответ дал:
0
это все один пример ?
Вас заинтересует
3 года назад
3 года назад
8 лет назад
8 лет назад
11 лет назад
11 лет назад
11 лет назад