Ответы
Ответ дал:
0
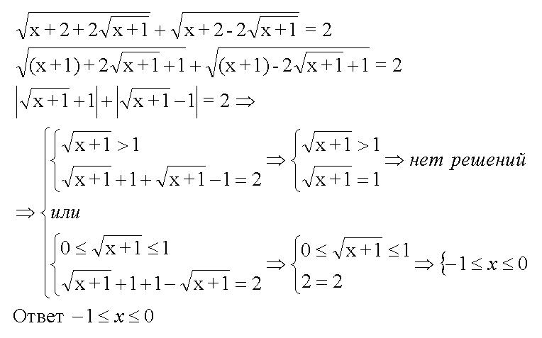
решение вашего задания
Приложения:

Ответ дал:
0
х - много)))
Ответ дал:
0
И скажете у кого верно)) у меня или у учителя))
Ответ дал:
0
смотри решение во вложении
Приложения:

Вас заинтересует
2 года назад
7 лет назад
7 лет назад
10 лет назад
10 лет назад
10 лет назад