отрицательная степень. помогите решить и объяснить сам принцип решения, пожалуйстааа
Приложения:

Ответы
Ответ дал:
0
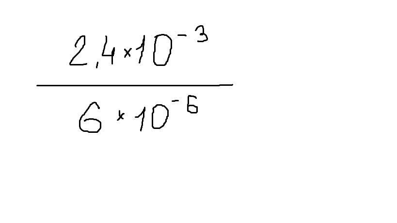
10^-3=110^3
10^-6=110^6
2.4*10^66*10^3=2.4*10^36=24006=400
Вас заинтересует
2 года назад
2 года назад
8 лет назад
8 лет назад
10 лет назад