• Предмет: Алгебра
  • Автор: friendly
  • Вопрос задан 11 лет назад

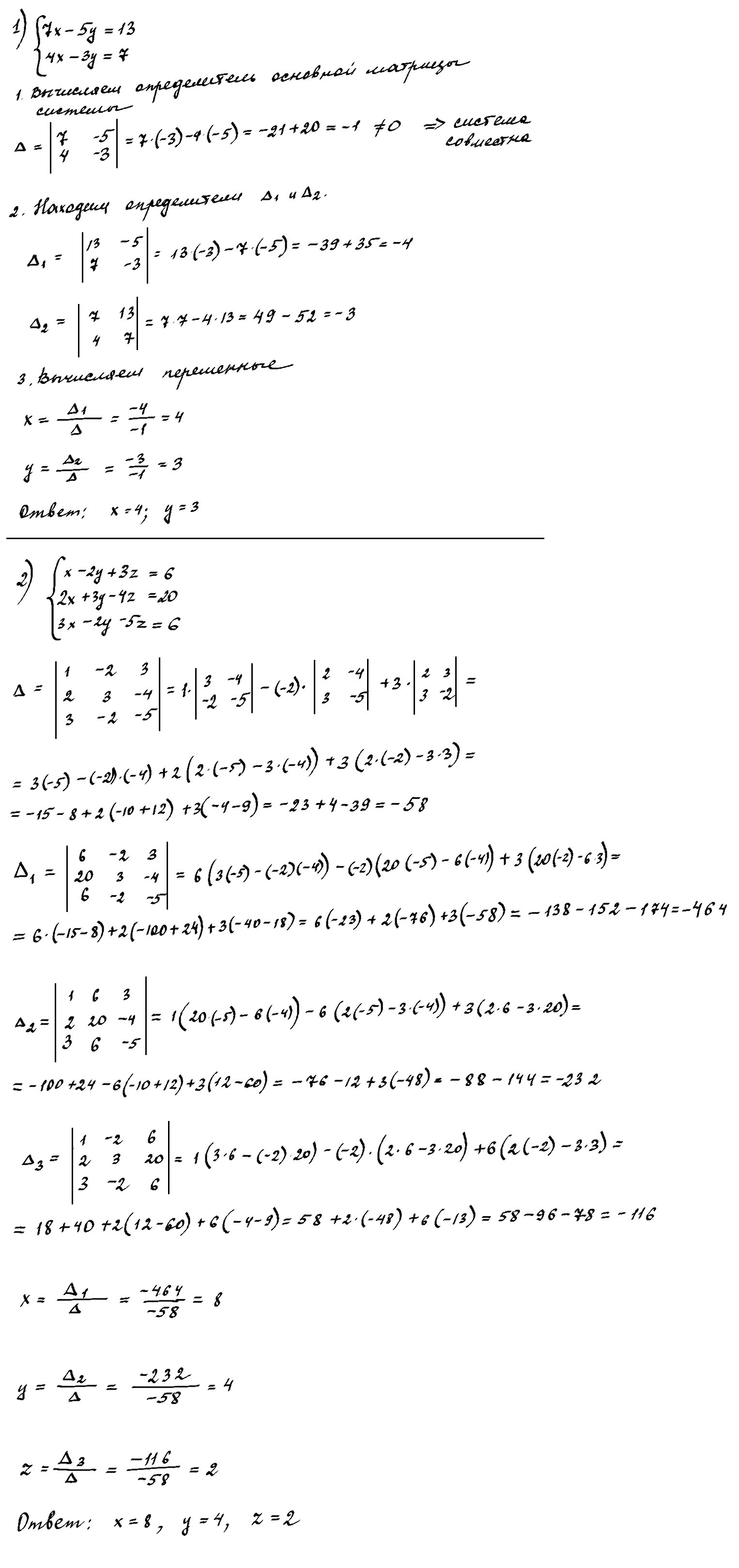
Решите пожалуйста систему линейных уравнений методом Крамера.

1)7x-5y=13

   4x-3y=7

 

2)x-2y+3z=6

  2x+3y-4z=20

  3x-2y-5z=6

 

 

Ответы

Ответ дал: UluanaV
0

Решение в прикрепленном файле.

Приложения:
Вас заинтересует