Ответы
Ответ дал:
0
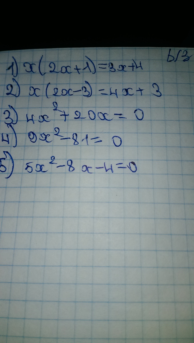
1)х(2х+1)=3х+4
2х²+х-3х-4=0
2х²-2х-4=0
х²-х-2=0
х1+х2=1 и х1*х2=-2
х1=-1 х2=2
2)х(2х-3)=4х+3
2х²-3х-4х-3=0
2х²-7х-3=0
D=49+24=73
x1=(7-√73)/4
x2=(7+√73)/4
3)4x²+20x=0
4x(x+5)=0
x=0 x=-5
4)9x²-81=0
9x²=81
x²=9
x= -3 x=3
5)5x²-8x-4=0
D=64+80=144
x1=(8-12)/10=-0,4
x2=(8+12)/10=2
2х²+х-3х-4=0
2х²-2х-4=0
х²-х-2=0
х1+х2=1 и х1*х2=-2
х1=-1 х2=2
2)х(2х-3)=4х+3
2х²-3х-4х-3=0
2х²-7х-3=0
D=49+24=73
x1=(7-√73)/4
x2=(7+√73)/4
3)4x²+20x=0
4x(x+5)=0
x=0 x=-5
4)9x²-81=0
9x²=81
x²=9
x= -3 x=3
5)5x²-8x-4=0
D=64+80=144
x1=(8-12)/10=-0,4
x2=(8+12)/10=2
Ответ дал:
0
Привет, можешь помочь мне с заданием? У меня в профиле самое первое. Помогите, пожалуйста!!!
Вас заинтересует
3 года назад
8 лет назад
8 лет назад
11 лет назад
11 лет назад
11 лет назад