• Предмет: Алгебра
  • Автор: Arut32
  • Вопрос задан 10 лет назад

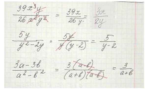
ПОМОГИТЕ Сократите дробь:
а) 39x^3y/26x^2y^2
б) 5y/y^2-2y
в) 3a-3b/a^2-b^2

Ответы

Ответ дал: Аноним
0
1)39x³y/26x²y²=3x/2y
2)5y/(y²-2y)=5y/y(y-2)=5/(y-2)
3)(3a-3b)/(a²-b²)=3(a-b)/(a-b)(a+b)=3/(a+b)
Ответ дал: ПростоЛёка
0
в приложении...............................
Приложения:
Вас заинтересует