• Предмет: Алгебра
  • Автор: Poporol
  • Вопрос задан 10 лет назад

Ребята , помогите пожалуйста !!! СРОЧНО!!! 
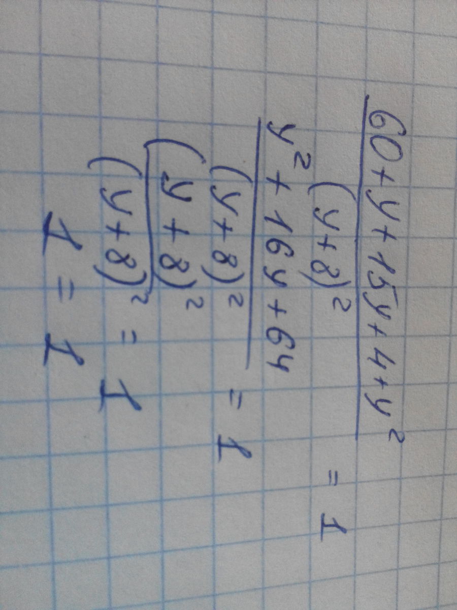
Помогите пожалуйста доказать тождество : 

Приложения:

Ответы

Ответ дал: Maya121998
0
...................................
Приложения:
Ответ дал: Maya121998
0
не за что)
Вас заинтересует