• Предмет: Алгебра
  • Автор: capitancolins
  • Вопрос задан 11 лет назад

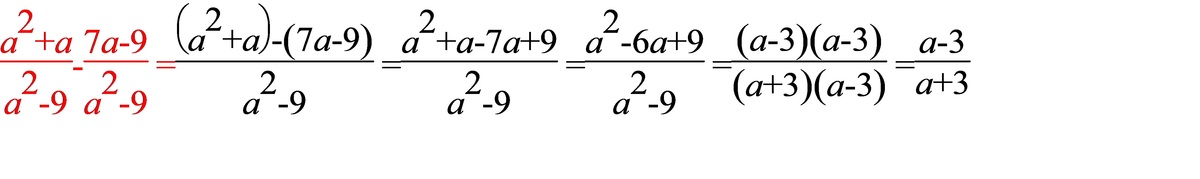
frac{a^{2}+{a}}{a^{2}-9} - frac{7a-9}{a^{2}-9} спрость дріб

Ответы

Ответ дал: triolana
0

=================================================

Приложения:
Вас заинтересует