• Предмет: Алгебра
  • Автор: tsar13
  • Вопрос задан 11 лет назад

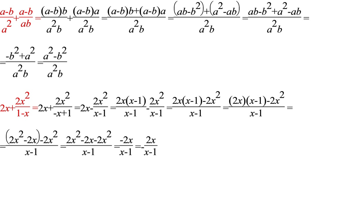
Представьте в виде дроби , помоги ребятки:* 

Приложения:

Ответы

Ответ дал: triolana
0

============================================

Приложения:
Вас заинтересует