• Предмет: Алгебра
  • Автор: Asem02
  • Вопрос задан 10 лет назад

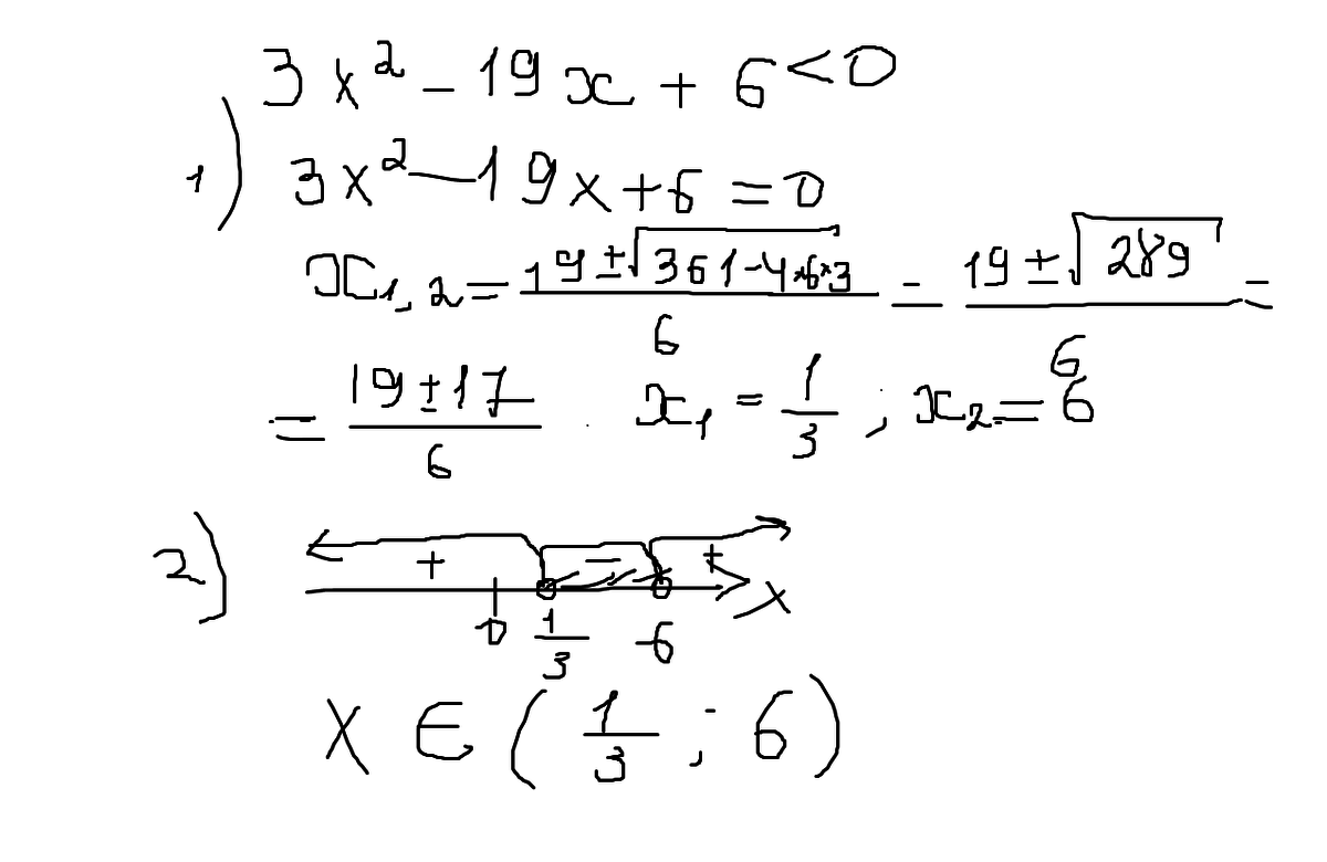
3 x^{2} - 19х +6<0
помогите

Ответы

Ответ дал: Katushka2510
0
 эээээээээээээм             сори за почерк)))))
Приложения:
Ответ дал: Asem02
0
спасибо
Вас заинтересует