• Предмет: Геометрия
  • Автор: вампириха
  • Вопрос задан 11 лет назад

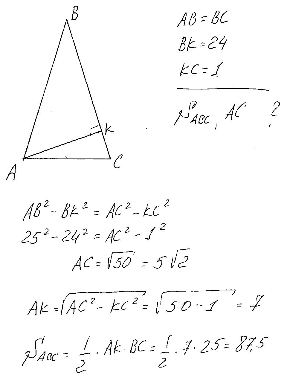
В треугольнике ABC AB=BC. Высота AK делит сторону BC на отрезки BK=24 см и KC=1 см. Найдите площадь треугольника и сторону AC.

Помогите плиииз. Заранее большое спасибо. 

Ответы

Ответ дал: Fatter
0

Решаем по теореме Пифагора(смотри рисунок). Ответ АК=7, Sавс=87,5

Приложения:
Вас заинтересует