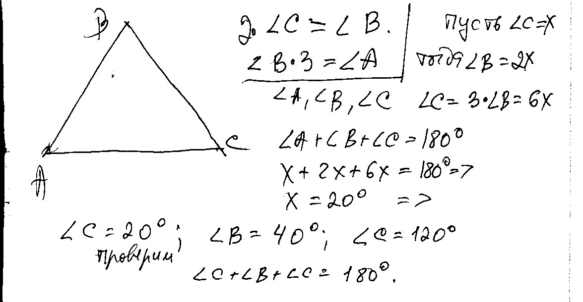
В треугольнике ABC угол В в 2 раза больше угла С и в 3 раза меньше угла А. Найдите градусную меру углов треугольника.
Ответы
Ответ дал:
0
В треугольнике ABC угол В в 2 раза больше угла С и в 3 раза меньше угла А. Найдите градусную меру углов треугольника.
Приложения:

Вас заинтересует
2 года назад
2 года назад
7 лет назад
7 лет назад
10 лет назад
10 лет назад