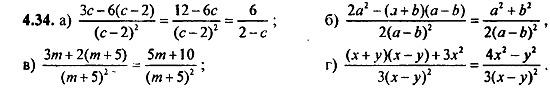
Слушайте, а в скобочке в) можно финальный ответ ещё вынести 5 в числителе за скобку?Тогда получится 5(m+5) / (m+5)^2 и (m+5) сократить с (m+5)^2 и ответ тогда будет 5/m+5
Это правильно? Или нет? Если это не верно , то объясните почему нельзя сократить в этом случае. Или же это верно?
Приложения:

Ответы
Ответ дал:
0
5м +10
--------
(m+5)^2
сначало умножаем
5м+10
-------
2м+10
если сократим 5м и 10
то получиться вот что
м+10
-----
2м+5
сократим еще и 10 и 2м
м+5
----
м+5
--------
(m+5)^2
сначало умножаем
5м+10
-------
2м+10
если сократим 5м и 10
то получиться вот что
м+10
-----
2м+5
сократим еще и 10 и 2м
м+5
----
м+5
Вас заинтересует
2 года назад
7 лет назад
10 лет назад
10 лет назад
10 лет назад