• Предмет: Алгебра
  • Автор: nastasiaa
  • Вопрос задан 11 лет назад

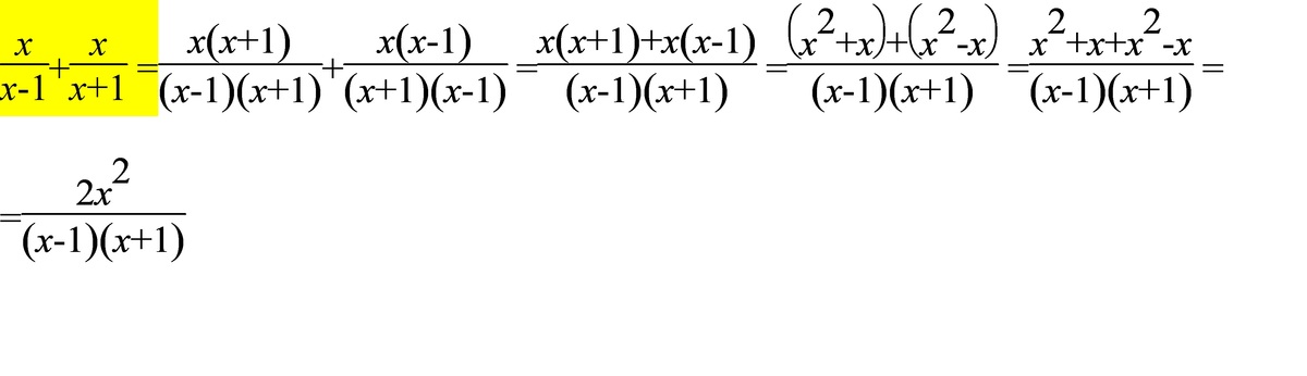
frac{x}{x-1}+frac{x}{x+1}

Ответы

Ответ дал: triolana
0

=======================================================

Приложения:
Вас заинтересует