• Предмет: Математика
  • Автор: tawernonetawer
  • Вопрос задан 10 лет назад

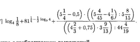
Математика 10 класс помогите :)

Приложения:

Ответы

Ответ дал: UliaSiutkina
0
в 10 классе логарифмы не изучаются
Ответ дал: tawernonetawer
0
изучаем*
Ответ дал: UliaSiutkina
0
я в 10 не изучала,только в 11)
Ответ дал: Аноним
0
в некоторых школах так
Вас заинтересует