• Предмет: Алгебра
  • Автор: bektabanov43
  • Вопрос задан 10 лет назад

1.     
Площадь
земель крестьянского хозяйства, отведенная для посадки злаков, составляет 168 га и распределена между
пшеницей и рожью в отношении 3:4. Сколько га отведено под пшеницу?
2. 

Приложения:

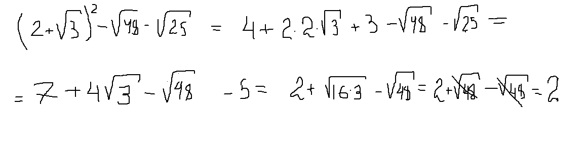
Ответы

Ответ дал: ireena
0
Ответы смотри в приложенном файле
Приложения:
Вас заинтересует