• Предмет: Алгебра
  • Автор: zaarova
  • Вопрос задан 10 лет назад

(1/2-x)*(x-3)=0решите пожалуйста

Ответы

Ответ дал: Аноним
0
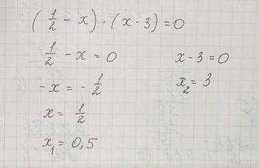
(1/2-x)(x-3)=0
1/2-x=0⇒x=1/2 U x-3=0⇒x=3


Ответ дал: ПростоЛёка
0
в приложении............................................................
Приложения:
Вас заинтересует