Помогите,пожалуйста, подробно решить эти задачи по физике ....на теме не было,а сама понять не могу...ПОЖАЛУЙСТА ПОМОГИТЕ РЕШИТЬ ИХ!!!
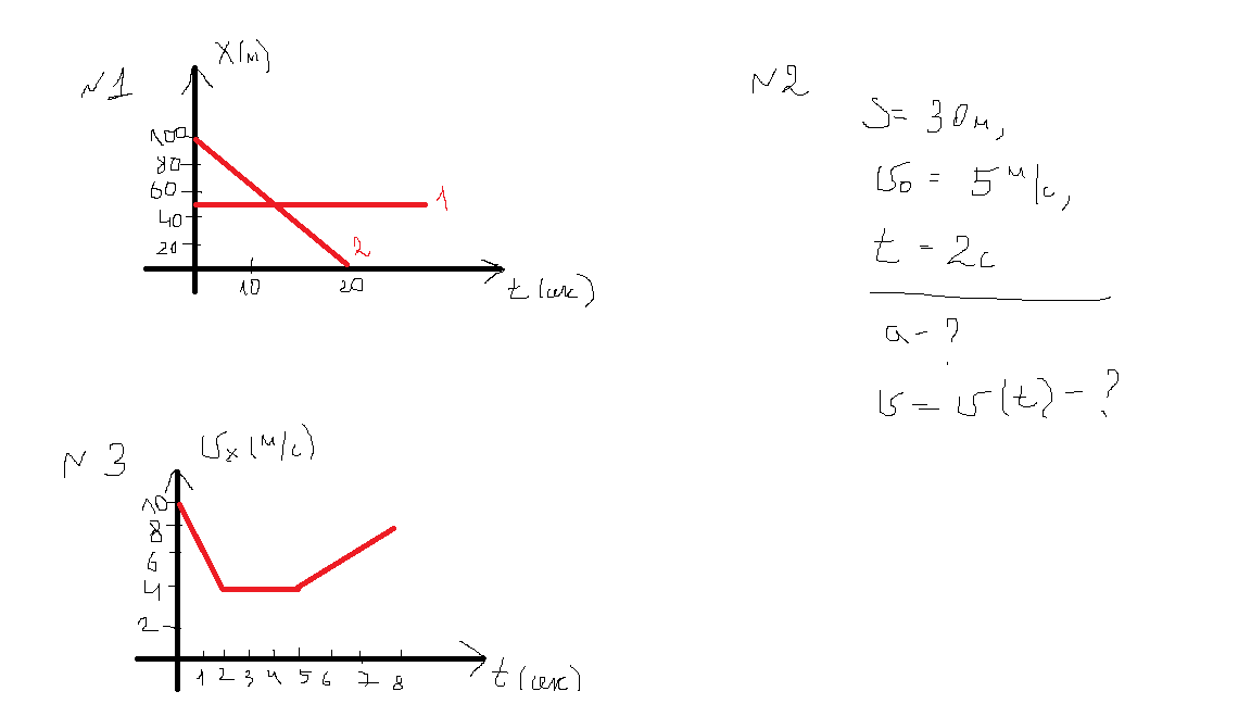
1. По графику движения двух тел, представленных на рисунке (1) описать движение и написать уравнение х=х(t) этих тел. Определить место и время их встречи графически и аналитически.
2. Тело, имевшее начальную скорость двигается с ускорением и за время проходит путь . Расчитать величину величину и написать зависимость скорости от времени v=v(t) (рисунок 2)
3. По данным графика скорости написать уравнение скорости v=v(t) и уравнение координаты x=x(t)для каждого этапа движения, если начальная скорость равна 20. (рисунок 3)
Приложения:

Ответы
Ответ дал:
0
Решение во вложении.
Приложения:

Вас заинтересует
2 года назад
7 лет назад
7 лет назад
10 лет назад
10 лет назад
10 лет назад