• Предмет: Алгебра
  • Автор: Da7456384
  • Вопрос задан 10 лет назад

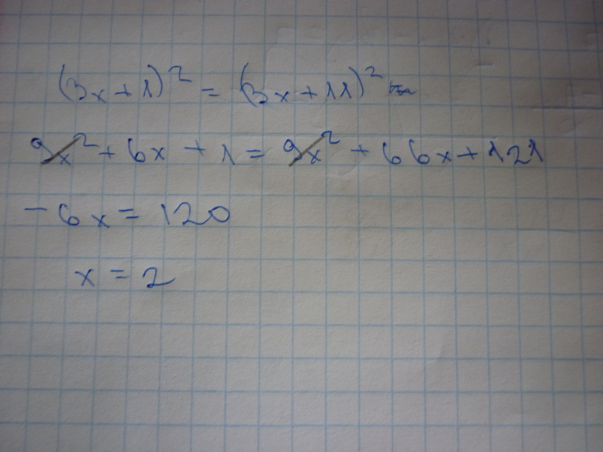
Решите уравнения: (3х+1)^2 =(3х+11)^2

Ответы

Ответ дал: НакоЭлрик
0
Смотри ответ во вложении......
Приложения:
Ответ дал: НакоЭлрик
0
(a+b)^2 = a^2 + 2ab = b^2
Ответ дал: НакоЭлрик
0
Разложил по формуле, а потом решил как обычное уравнение
Ответ дал: НакоЭлрик
0
ой, там в ответе минус 2, забыл дописать
Вас заинтересует