• Предмет: Математика
  • Автор: kirillmorgunov
  • Вопрос задан 10 лет назад

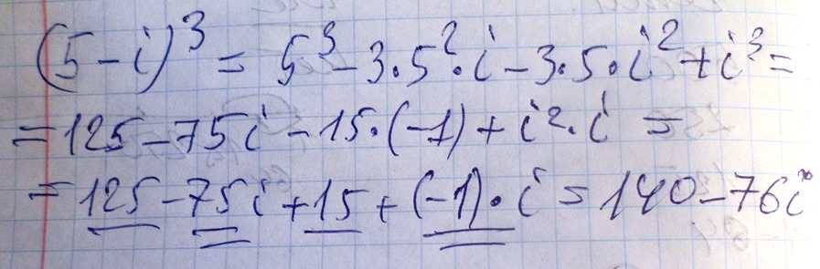
(5-i)в кубе
Сколько будет подскажите

Ответы

Ответ дал: infor5
0
применяем формулу для куба разности (a-b)^3 = a^3-3a^2b+3ab^2-b^3
Учтем, что i^2= - 1 .......................
Приложения:
Ответ дал: infor5
0
Пожалуйста
Вас заинтересует