• Предмет: Математика
  • Автор: max1996romanov1
  • Вопрос задан 10 лет назад

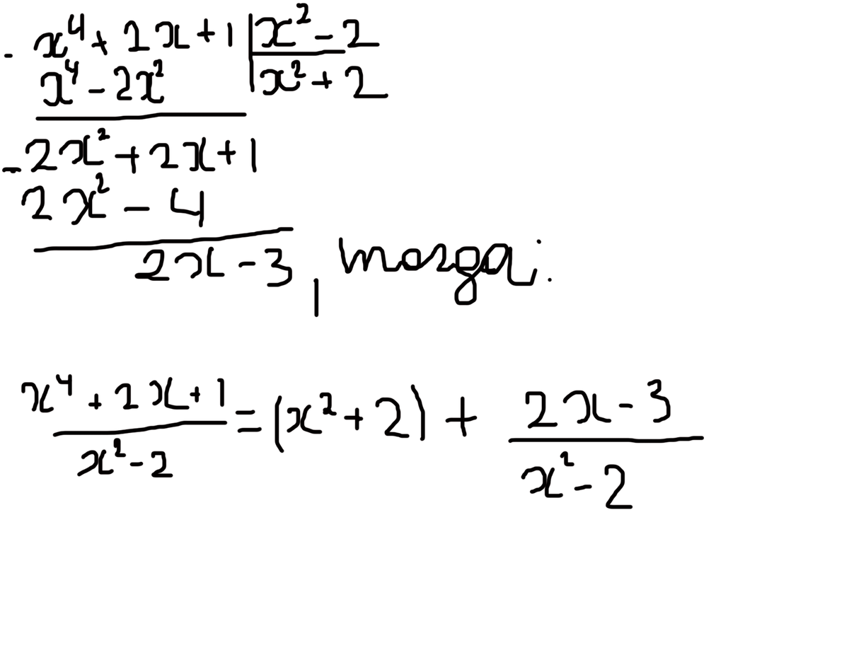
x^4+2x+1/x^2-2


^4-четвертая степень
^2-квадрат
нужно преобразовать

Ответы

Ответ дал: Borisqaaa
0
............................
Приложения:
Вас заинтересует