• Предмет: Математика
  • Автор: xenia27
  • Вопрос задан 10 лет назад

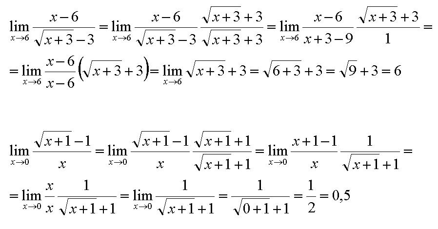
решите пожалуйста два примера из темы "пределы",смотрите фото.

Приложения:

Ответы

Ответ дал: Аноним
0
lim(x-6)/( sqrt{x+3} -3)=lim( sqrt{x+3} -3)( sqrt{x+3}+3)=lim( sqrt{x+3}  +3)=√9 +3=3+3=6 

lim( sqrt{x+1} -1)/x=lim( sqrt{x+1} -1)/( sqrt{x+1} -1)( sqrt{x+1} +1)=
=lim1/( sqrt{x+1)} =1/(0+1)=1
Ответ дал: Аноним
0
Из-за того,что не дописала после корня +1?
Ответ дал: IUV
0
от меня спасибо за понимание
Ответ дал: IUV
0
оценок не ставлю
Ответ дал: IUV
0
смотри решение во вложении
Приложения:
Вас заинтересует