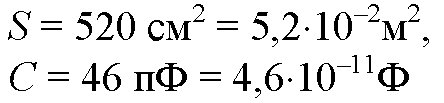
площадь каждой пластины плоского конденсатора равна 520см квадратных.На каком расстоянии друг от друга надо расположить в воздухе пластины,чтобы ёмкость конденсатора была равна 46пФ???
Ответы
Ответ дал:
0
Надеюсь это поможет вам!Условие:Найти d, ответ d=1см! Если что,примите за лучший ответ)))
Приложения:



Вас заинтересует
2 года назад
2 года назад
10 лет назад
10 лет назад
10 лет назад