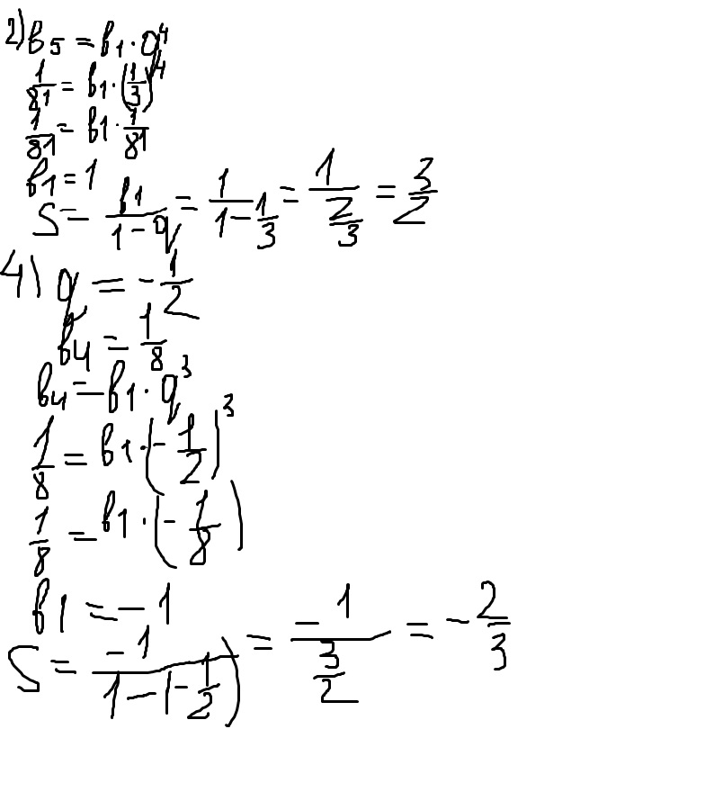
2.Найдите сумму бесконечно убывающей геометрической прогрессии
2) q= 1 в дроби сверху , а 3 снизу , b5= 1 в дроби сверху , а 81 снизу .
4) q= - 1 в дроби сверху , а снизу 2 , b4= 1 в дроби сверху ,а снизу 8 .
3. Найдите сумму бесконечно убывающей геометрической прогрессии 2) -25 , -5, -1
Ответы
Ответ дал:
0
Воттттттттттттттттттттттттттт посмотри))))))))))))))))))))))))))))))))))))))))))))))))))))
Приложения:

Вас заинтересует
2 года назад
2 года назад
7 лет назад
7 лет назад
10 лет назад
10 лет назад