• Предмет: Алгебра
  • Автор: Аноним
  • Вопрос задан 10 лет назад

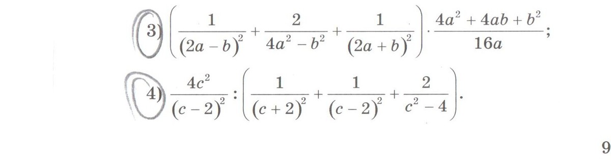
Сделайте)упростите пожалуйста)

Приложения:

Ответы

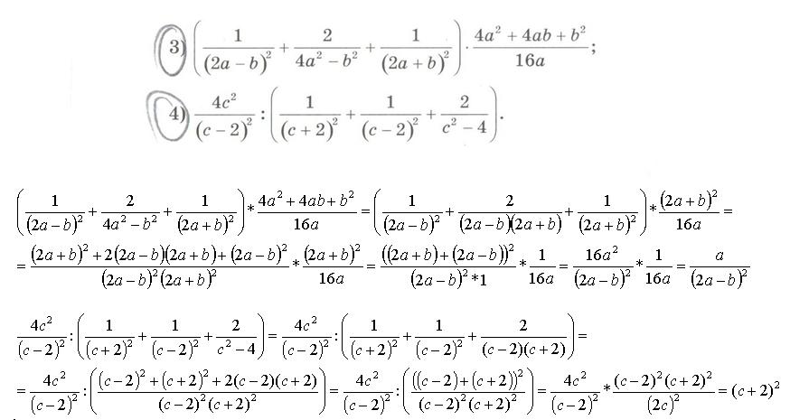
Ответ дал: IUV
0
смотри решение во вложении
Приложения:
Ответ дал: Аноним
0
спасибо
Вас заинтересует